Skip to content

Is the 8:16 diet beneficial for boxing? 

Should I do alternate day fasting for boxing? 

Should I skip breakfast if training is early in the morning?

Does intermittent fasting increase fat loss?

Many boxers, at some point, will have done some form of intermittent fasting. Such as doing fasted exercise in the morning, eating later in the day, or avoiding breakfast.

This article will explain the science behind intermittent fasting and why we don’t feel it benefits boxers. We can see it as possibly detrimental to boxing performance compared to a continuous, energy-restricted diet.

INTRODUCTION

Types of intermittent fasting include alternate day fasting, the 5:2 diet (2 days of less than 600 kcals per week) and time-restricted feeding (for example eating between 1 pm-9 pm and fasting from 9 pm-1 pm). Most of the studies that have investigated intermittent fasting have used an obese sample with a sedentary lifestyle. 

Obese individuals have greater fat stores, and higher blood glucose and insulin levels (Martyn et al. 2008). Our understanding on the effects of intermittent fasting on healthy-fit participants is minimal. 

THE EFFECTS OF INTERMITTENT FASTING COMPARED TO CHRONIC ENERGY RESTRICTION 

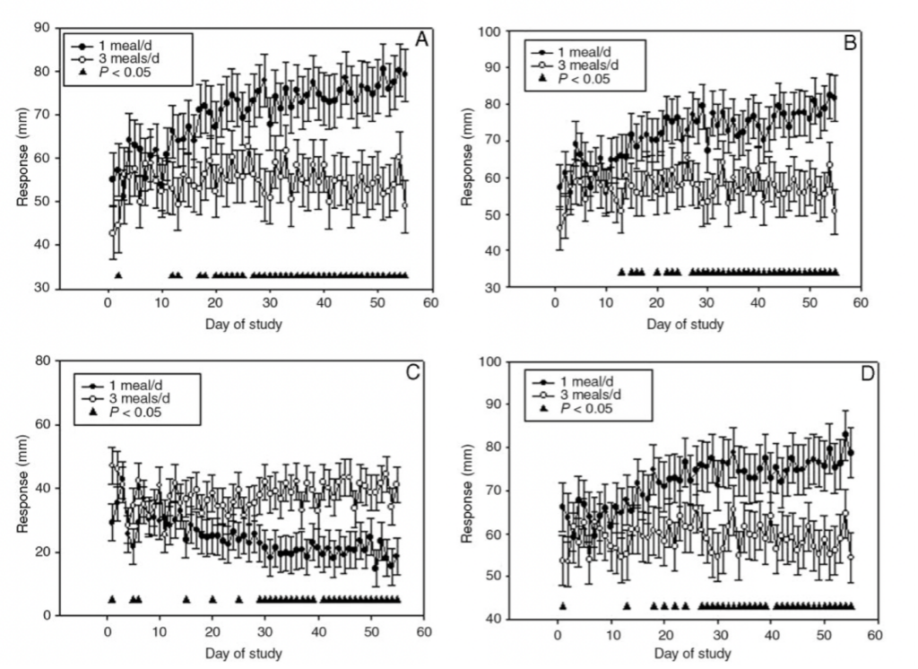
When 15 obese participants consumed one meal per day compared to 3 meals per day for eight weeks, which were controlled for macronutrient content, they demonstrated greater body mass (1.4 kg) and fat mass loss (2.1 kg) (Stote et al., 2006). However, participants in the one meal-per-day condition reported greater feelings of hunger compared to the three meals-per-day condition (see figure 1 below). As this was a short term study the consequence of higher hunger will lead to less dietary adherence (cheating on the diet).

Figure 1. These graphs show that those who consumed 1 meal per day were hungrier, less full and had a higher desire to eat. (Stote et al. 2006)

Moro et al. (2016) investigated the effects of time-restricted eating on basal metabolism, maximal strength, and body composition in 34 resistance-trained healthy males. The authors reported that the time-restricted feeding group lost more fat but also had lower testosterone and insulin-like growth factor compared to the normal eating group during the 8-week study. A strength of this study is that the researchers used healthy participants who participated in 3 resistance training sessions per week. Whilst a weakness was the diet was self-reported based on an interview. It is known that many people under report their energy intake so it’s possible that those on the time-restricted diet just ate less energy compared to the normal eating group. 

Keenan et al. (2022) examined the effects of 5:2 intermittent fasting compared to continuous energy restriction on body composition and muscle strength in 34 participants undertaking a 12-week resistance training program who consumed a controlled intake of 1.4 g/kg of protein per day.

The study found that both groups increased lean body mass and upper and lower body strength whilst decreasing body mass and fat mass. The authors revealed that the continuous energy restriction group demonstrated a significant increase in cross-sectional muscle surface area, particularly in the lower body, compared to the intermittent fasting group. It has been implied that intermittent fasting may not be ideal for increasing lean mass due to fewer protein feedings which are required to stimulate muscle protein synthesis across the day (Willamson and Moore 2021). 

In-house research at Boxing Science demonstrates that greater lower body mass and core mass is positively correlated with punch force. So, we aim to maintain or even increase lean body mass whilst making weight in our training programs. Consequently, past research shows that the loss of fat-free mass when dieting is correlated to weight regain, which makes dieting harder in the long term. 

Martins, Gower and Hunter (2022) reported that there was an inverse association between fat-free mass loss and weight regain at one year (see figure 2 below). Basically, a loss of fat free mass will lead to a lower resting metabolic rate as its metabolically active tissue. Also, a loss of muscle has been reported to increase appetite from statin signals released in the muscle.

Figure 2. Inverse association between fat free mass loss and weight regain. Smaller the loss of fat free mass (x axis) then the less amount of weight regain at 1 year (y axis).

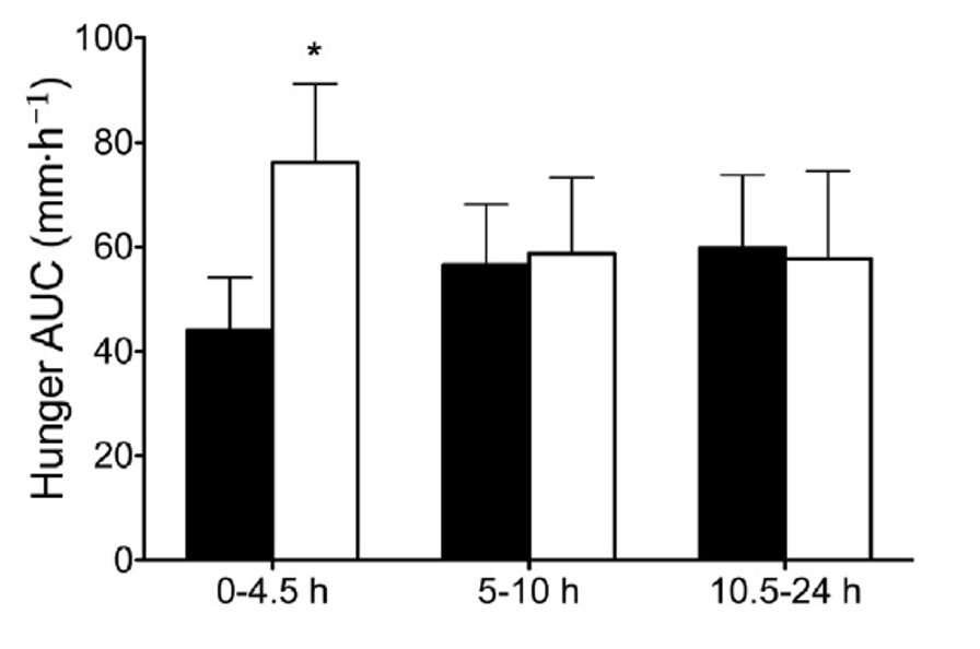
Many boxers and athletes skip breakfast due to training early or not being hungry. A study by Slater et al. (2022) analysed the perception of breakfast consumption on appetite and energy intake in healthy men. They gave participants food (jam on toast and rice cereal), low calorie jelly or no food at all. Those who consumed the food had a lower ghrelin hormone response as well as lower hunger ratings compared to the placebo and water group (see figure 3 A and B below). It seems that consuming food in the morning reduces hunger later in the day.

Figure 3a. Acylated ghrelin response to consuming food, placebo and water. Food lowers the hunger hormone ghrelin to a lower degree compared to no or a low calorie breakfast.

Figure 3b. Hunger ratings following consuming food, placebo and water. Those who consumed food in the morning had less hunger in the day compared water and the low calorie jelly placebo group.

So far, the evidence shows that intermittent fasting is not superior compared to continuous energy restriction and could lead to less lean body mass and higher hunger ratings, which will likely make dieting more difficult, especially in the long term.

THE EFFECTS OF INTERMITTENT FASTING ON ENERGY EXPENDITURE 

It has been proposed that intermittent fasting can reduce energy expenditure later in the day. Meaning that moving later in the day becomes more difficult especially exercising at a high intensity (even if you train later in the day, avoiding breakfast in the morning will likely reduce performance in training).

Betts et al. (2014) explored the effects of consuming a 700 kcal breakfast before 11 am or extended fasting until 12 pm for 6 weeks in 34 healthy men and women. Having breakfast did not boost basal metabolic rate. However, physical activity thermogenesis (the ability to move more) was markedly higher with breakfast consumption compared to fasting (see figure 4 below). As we diet our body will tend to slow down and move less i.e reduce the amount of fidgeting. Doing intermittent fasting seems to slow this down more. So this will reduce daily energy expenditure. Thus lowering daily metabolic rate over time.

Figure 4. shows that those who consumed breakfast moved more on a daily basis thus increasing energy expenditure and daily metabolic rate compared to fasting.

A study by Trepanowski et al. (2018) investigated the effects of alternate-day fasting compared to chronic energy restriction in 100 obese participants. Both diets were matched for energy for the duration of the study. The results found that there were no differences in body mass, fat mass, fat free mass or circulating adipokines. Yet, the chronic energy restriction group increased their step count (1696 ± 972 steps/d) compared to the alternate day fasting group (489 ± 642 steps/d) hinting that alternate day fasting may reduce neat energy expenditure compared to chronic energy restriction. 

Lowe et al. (2020) explored the effects of time restricted eating in 106 obese/ overweight participants compared to a consistent meal timing group for 12 weeks. The results were that no effects for fat mass, and health markers between both groups. But, the consistent meal timing group lost less fat free mass (-0.35 kg 95% CI 0.95 kg to 0.25 kg) compared to the time restricted eating group (-1.10 kg 95% CI -1.73 to -0.48 kg). The time restricted eating group also had a significant decrease in daily step count (-2498 steps 95% CI -3939 to -1057) whereas the consistent meal timing group did not (-257 steps 95% CI -1756 to 1241). 

Templeman et al. (2021) investigated chronic energy restriction or an alternated day fasting with dietary compensation on non-fasting days to match the calorie deficit of the chronic energy restriction group in 34 lean healthy adults. The study found that those in the alternated day fasting group significantly lost more fat free mass compared to the chronic energy restriction group (see figure 5 below).

Figure 5. Fat mass and fat free mass loss during chronic energy restriction and alternate day fasting. Fat free mass loss was much greater in the fasting group.

THE EFFECTS OF INTERMITTENT FASTING ON THE THERMIC EFFECT OF FEEDING.

Consuming food increases resting metabolic rate via the thermic effect of feeding (our body uses energy to chew and digest food). Protein has a higher thermic effect of feeding compared to carbohydrates and fat. As it takes more energy to chew and digest amino acids than simple sugars and dietary fats. This is why protein increases fullness more than lower fibre carbohydrates and fats. Consuming food consistently in general compared to no food will have a higher thermic effect of feeding. As our body will be digesting nutrients throughout the day more regularly.

Alhussain, Macdonald and Taylor investigated the impact of a regular meal pattern (6 meals per day) compared to an irregular meal pattern (3-9 meals per day) on dietary induced thermogenesis, glucose metabolism and appetite in 9 women using a randomized control trial. Both diets were identical in foods and energy. The regular meal pattern condition increased the thermic effect of feeding and increased appetite reducing hormones GLP-1 and PYY compared to the irregular meal pattern. Providing evidence that eating regularly increases thermic effect of feeding will which raise daily resting metabolic rate whilst aiding satiety (see figure 6 A and B below).

Figure 6A. GLP-1 response to consuming regular and irregular meal patterns.

Figure 6B. PYY response to consuming regular and irregular meal patterns. 

A study by Betts et al. (2016) reported clear differences between morning fasting and breakfast consumption during the morning with a post prandial reduction in ghrelin and increased PYY in response to breakfast consumption. This ghrelin response remained elevated during the afternoon in those who consumed the breakfast and lunch meal compared to the lunch meal alone. The authors have called this the second meal effect. Due to ghrelin and PYY being highly linked to appetite, morning fasting seems to alter the metabolic response to subsequent meals later in the day, whilst eliciting compensatory behaviour such as reducing energy expenditure via physical activity (Smith and Betts et al. 2022). 

THE EFFECTS OF INTERMITTENT FASTING ON PERFORMANCE 

It seems that fasting or omitting breakfast in the morning reduces physical activity later in the day and now research seems to support the notion that skipping breakfast and fasting will reduce performance later in the day. Especially, when the exercise is aerobic of long duration (longer than 60 minutes) (Aird, Davies and Carson 2018). 

Clayton et al. (2015) examined the effects of breakfast omission vs breakfast consumption on a 30-minute cycling test in the evening. The group who consumed breakfast burnt more energy during the exercise tests whilst significantly increasing work output. In addition, the breakfast group had lower feelings of hunger and higher fullness between breakfast and lunch (see figure 7 A and B below).

Figure 7a. Work completed between breakfast consumption and breakfast omission during a 30 minute cycling time trial.

Figure 7b. Hunger ratings between breakfast consumption and breakfast omission on the day of a 30 minute cycling time trial.

Cornford and Metcalf (2019) found that skipping breakfast impaired 2000m rowing performance by 0.8% compared to a carbohydrate rich breakfast. This was despite the group who skipped breakfast consumed more energy at lunch.

Furthermore, Metcalfe et al. (2021) investigated the effects of no breakfast and breakfast consumption on 20km cycling time trial performance in the evening in highly trained participants. Both groups consumed the same amount of energy on the day. Those who consumed breakfast had a higher peak power output and finished the time trial 38 seconds quicker (see figure 8 below). Skipping breakfast seems to have negative effects on physical performance even when the same amount of energy is consumed in the day. Skipping breakfast regularly during a training camp will likely reduce performance in training sessions which may have a knock on effect into a competition.

Figure 8. 20km mean power output between breakfast and no breakfast groups.

SUMMARY  

It seems apparent that intermittent fasting may induce compensatory mechanisms including increased appetite and reduced physical activity which may cause a greater loss of fat free mass. Intermittent fasting seems to also cause a reduction in the thermic effect of feeding.

Recently, it has been shown that skipping breakfast can result in reduced performance later in the day even when energy intake is compensated for. For these reasons we don’t advocate intermittent fasting for boxers who need to perform and make weight. Instead, we advise continuous energy restriction with regular meal patterns to help fuel the demands of training whilst maintaining/ increasing lean body mass when making weight.

REFERENCES: 

ALHUSSAIN, Maha H., MACDONALD, Ian A. and TAYLOR, Moira A. (2022). Impact of isoenergetic intake of irregular meal patterns on thermogenesis, glucose metabolism, and appetite: a randomized controlled trial. The american journal of clinical nutrition; am J clin nutr, 115 (1), 284-297. 

BETTS, James A., et al. (2016). Is breakfast the most important meal of the day? Proceedings of the nutrition society; proc.nutr.soc, 75 (4), 464-474. 

BETTS, James A., et al. (2014). Causal role of breakfast in energy balance and health: a randomized controlled trial in lean adults. The american journal of clinical nutrition; am J clin nutr, 100 (2), 539-547. 

CLAYTON, DAVID J., et al. (2015). Effect of Breakfast Omission on Energy Intake and Evening Exercise Performance. Medicine and science in sports and exercise; med sci sports exerc, 47 (12), 2645-2652. 

CORNFORD, Elizabeth and METCALFE, Richard (2019). Omission of carbohydrate-rich breakfast impairs evening 2000-m rowing time trial performance. European journal of sport science; eur J sport sci, 19 (1), 133-140. 

KIM, Kyoung-Kon, KANG, Jee-Hyun and KIM, Eun Mi (2022). Updated Meta-Analysis of Studies from 2011 to 2021 Comparing the Effectiveness of Intermittent Energy Restriction and Continuous Energy Restriction. Journal of obesity & metabolic syndrome, 31 (3), 230-244. 

MARTINS, CATIA, GOWER, BARBARA A. and HUNTER, GARY R. (2022). Association between Fat-Free Mass Loss after Diet and Exercise Interventions and Weight Regain in Women with Overweight. Medicine and science in sports and exercise, 54 (12), 2031-2036. 

MARTYN, J. A. Jeevendra, et al. (2008). Obesity-induced insulin resistance and hyperglycemia: etiologic factors and molecular mechanisms. The journal of the american society of anesthesiologists, 109 (1), 137-148. 

METCALFE, Richard S., et al. (2021). Omission of a carbohydrate-rich breakfast impairs evening endurance exercise performance despite complete dietary compensation at lunch. European journal of sport science, 21 (7), 1013-1021. 

MORO, Tatiana, et al. (2016). Effects of eight weeks of time-restricted feeding (16/8) on basal metabolism, maximal strength, body composition, inflammation, and cardiovascular risk factors in resistance-trained males. Journal of translational medicine; J transl med, 14 (1), 290-290. 

SEIMON, Radhika V., et al. (2015). Do intermittent diets provide physiological benefits over continuous diets for weight loss? A systematic review of clinical trials. Molecular and cellular endocrinology; mol cell endocrinol, 418 , 153-172. 

SLATER, Tommy, et al. (2022). Effect of the perception of breakfast consumption on subsequent appetite and energy intake in healthy males. European journal of nutrition; eur J nutr, 61 (3), 1319-1330. 

SMITH, Harry A. and BETTS, James A. (2022). Nutrient timing and metabolic regulation. The journal of physiology; J physiol, 600 (6), 1299-1312. 

TEMPLEMAN, Iain, et al. (2021). A randomized controlled trial to isolate the effects of fasting and energy restriction on weight loss and metabolic health in lean adults. Science translational medicine, 13 (598), eabd8034. 

TREPANOWSKI, John F., et al. (2018). Effects of alternate-day fasting or daily calorie restriction on body composition, fat distribution, and circulating adipokines: Secondary analysis of a randomized controlled trial. Clinical nutrition (edinburgh, scotland); clin nutr, 37 (6), 1871-1878. 

WILLIAMSON, Eric and MOORE, Daniel R. (2021). A Muscle-Centric Perspective on Intermittent Fasting: A Suboptimal Dietary Strategy for Supporting Muscle Protein Remodeling and Muscle Mass? Frontiers in nutrition (lausanne), , 640621-640621. 

Select your currency
GBP Pound sterling