Vegan Diets For Gaining Mass
Are vegan diets good for gaining mass?
Is Canelo’s vegan diet affecting his performance?
Canelo is the latest high profile boxer to adopt a vegan diet when preparing for his world title fights, he recently said “I feel better and my stomach feels very good”.

Vega diets are also popular with other past and present athletes including David Haye, Tim Bradley and Nate Diaz.
This article will summarise the latest literature on a vegan diet for gaining muscle mass. We have previously wrote an article on vegan diets for boxing which can be found here:
What is a vegan diet?
A vegan diet consists of plant-based foods which avoid the consumption of meat, fish, dairy and eggs. Many people who consume vegan diets make choices centred around taking better care of the earth’s resources and ethical issues about animal care. A plant-based diet also has health advantages over that of an omnivore diet including the reduced risk of cardiovascular disease and certain cancers (Appleby 2016).
Many boxers are now incorporating a vegan diet, such as Canelo. This article will summarise the latest literature on vegan diets and how methodical planning can ensure vegans gain mass despite several challenges.
If you are reading this article because you’re thinking of incorporating a vegan diet over an omnivore diet solely based on gaining mass, we can make an informed decision for you.
There is no evidence that a vegan diet improves performance or increases strength and muscle mass more than an omnivore diet (Shaw et al. 2021).
In fact, it is much more difficult to do both. Lim et al. (2021) performed a meta-analysis on animal protein versus plant protein in supporting lean mass and strength. This study found that the protein source did not significantly affect changes in absolute lean mass or muscle strength. But, there was a favouring effect of animal protein on the percentage of lean mass gain especially in young adults (<50 years old).
Based on the lack of evidence supporting a vegan diet over an omnivore diet, we currently recommend athletes consume a varied omnivore diet rich in fruits and vegetables, wholegrain carbohydrates, dairy products, lean animal protein and plant-based proteins. This is because it will make it easier and more efficient to consume the correct amount of macro and micronutrients needed to increase muscle mass.
However, if you are a vegan who follows this lifestyle because of sustainability and animal welfare then this article can help you increase muscle mass along with a resistance training program.
What are the nutritional advantages of a vegan diet?
Vegan diets are usually higher in
Dietary nitrates:
Foods such as spinach, rocket, ruby chard, pak choi and beetroot which are all part of a vegan diet are high in dietary nitrates. Dietary nitrates can reduce the oxygen cost of exercise via enhancing the nitric oxide pathway (Van der Voort et al. 2014). Some studies have shown that dietary nitrates may enhance muscular endurance performance (Jones et al. 2014) whilst some have found no effects on muscular endurance and strength performance (Alvares et al. 2021).
Fibre:
Essential complex group of carbohydrates that cannot be digested by the small intestine. They can enhance the diversity of the gut microbiome as well as increase satiety and decrease energy intake. This can be beneficial for athletes needing to lose weight. But, make it harder for those who need to increase muscle mass due to the high satiety effects reducing energy consumption needed for growth and muscle repair (Soliman 2019).
Polyphenols:
A diet rich in polyphenols from fruit and vegetables may help reduce the amount of oxidative stress as well as enhance endurance performance by enhancing blood flow and the delivery of oxygen to working muscles (Bowtell and Kelly 2019). No studies have shown or suggested a benefit of polyphenols on resistance training and strength performance.
What are the nutritional disadvantages of a vegan diet?
Vegan diets are typically low in the following…
Omega 3:
Eicosapentaenoic and docosahexaenoic acid (EPA AND DHA): Can improve cognitive function such as memory and attention, reduce symptoms of concussion following traumatic brain injury as well as potentially increase the muscle protein synthesis response and muscle recovery (Philpott et al. 2019).
Vitamin d3:
Imperative for bone health, immune function, and inflammatory modulation. It is involved in muscular function and acts as an anabolic hormone (Antoniak and Greig 2017).
Zinc:
Improves the function of the immune system and wound healing. As well as regulating ion channels at the neuromuscular junction. Insufficient zinc intake below RDA of 11mg for males and 8mg for females can decrease strength and endurance performance (Van loan et al. 1999).
Calcium: Improves bone health and plays a role in muscle contraction and nerve transmission (Kreider et al. 2010).
Heme-iron:
Essential nutrient involved in oxygen transport, energy production, cell proliferation and erythropoiesis (Sim et al. 2019).
Cobalamin (vitamin b12):
Plays an important role in oxygen transportation and deficiency can lead to fatigue and tiredness. Important for red blood cell formation and transmission of neural signals. (Krzwanski et al. 2020).
Iodine:
Plays an important role on thyroid function and regulating metabolic rate (Rogerson et al. 2017).
Riboflavin (vitamin b2):
Important nutrient in energy metabolism. Deficiency likely to impact energy availability during aerobic exercise (Kreider et al. 2010).
Due to the range of key nutrients that a vegan diet is typically low in, we recommend athletes get a regular blood test to ensure any deficiency can be highlighted and acted upon with the right supplementation.
In addition, we recommend that a vegan athlete consume a wide variety of foods in table 1 listed below to reduce the risk of deficiency in the above micronutrients and omega-3 fatty acids. Although some new vegan products are on the market promoting high protein content, such as plant-based burgers and meat-free jerky and chicken tenders, we advise vegan athletes to try to stick to whole foods. A study by Tso and Forde (2021) reported that consuming these new vegan products whilst still consuming the same amount of macronutrients led to reductions and borderline deficiency in calcium, vitamin b12, magnesium and zinc.
All of which could compromise strength performance and an increase in muscle mass.
Table 1 plant-based sources with a significant amount of key nutrients adapted from Lis et al. (2019).

PROTEIN QUALITY AND INTAKE
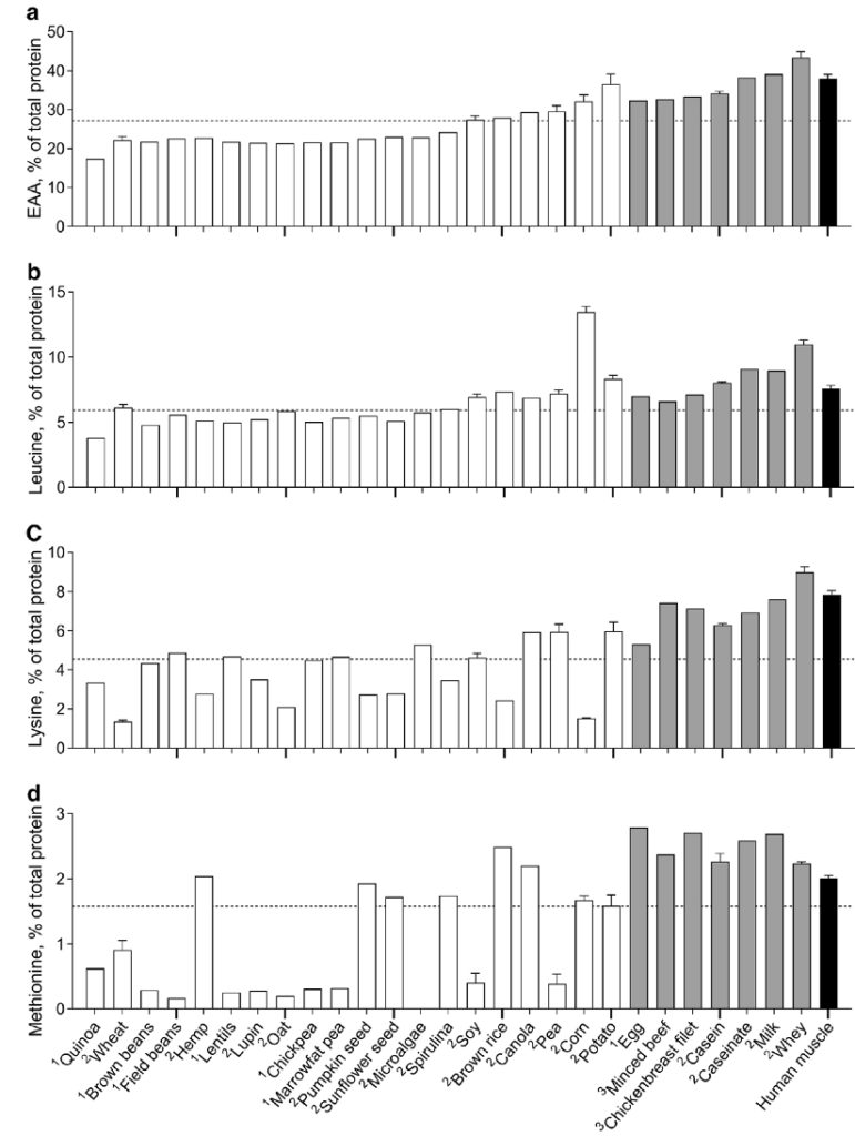
It is known that plant-based proteins have a lower bioavailability compared to animal proteins. Plant-based proteins typically have a lower leucine, lysine, and methionine content (Gorissen et al. 2018). Recent data has shown that 85-95% of the protein in egg whites, whole eggs and chicken is absorbed compared to only 50-75% of the protein in chickpeas, mung beans and yellow peas (Kashyap et al. 2018, 2019).
A study by (Rafi et al. 2022) showed that when lentils which are high in lysine but low in methionine were consumed with brown rice, which is high in methionine but low in lysine, the anabolic response was greater and matched that of a complete animal protein. This highlights the importance of combining more than one plant protein source at all meals to increase the essential amino acid content and protein synthetic response.
Figure 1 below shows the % of essential amino acids, leucine, lysine, and methionine contents of various dietary proteins, including plant-based and animal-derived proteins. We recommend combining the plant-based proteins with the highest bars in each of the leucine, lysine and methionine amino acids should promote a greater effect on muscle protein synthesis.

Figure 1 % of essential amino acids in animal and plant-based proteins (Pinckaers et al. 2021)
Recently, it has been revealed that when a plant-based protein (60 g of wheat protein) is increased to match the essential amino acid content of an animal protein (30 g of milk protein) there is no difference in the muscle protein synthesis response between both plant-based and animal-derived protein (Pinckaers et al. 2021). While such as strategy would be easy to apply when considering the use of plant-based proteins, it may not always be practical. The lower protein density of plant-based protein sources would increase and even double the total caloric and volume content of the plant-based food that would need to be consumed. See figure 2 and table 2 below for examples of the amount and energy content of whole food needed to be consumed to ingest 20 g of protein from plants compared to steak.
This highlights the magnitude of food that needs to be eaten to reach the desired amounts to maximise muscle protein synthesis. Therefore, it is not uncommon for athletes to reach this amount of food. This is where plant-based protein and essential amino acid supplementation will be beneficial.

Figure 2. Food quantity needed to be consumed to reach 20g of protein from a variety of plant-based protein sources compared to an animal protein (Pinckaers et al. 2021).
Table 2 Energy content of plant-based protein foods in comparison to animal protein.

A recent meta-analysis has provided evidence that when at least 1.6 g/kg body mass of protein is consumed per day from either plant-based or animal protein, adaptations to resistance exercise are the same (Hevia-Larrain et al. 2021). Upon this research, we recommend that all vegan athletes wishing to enhance resistance training adaptations such as increasing lean muscle mass aim to consume at least 1.6 g/kg body mass of protein per day divided into 4-5 servings of 30-40g of protein per day so that regular protein feedings maximise the fractional protein synthetic response (Areta et al. 2013).
SUPPLEMENTATION
Recent evidence has shown that consuming the following supplements whilst following a vegan diet can aid performance and increase muscle mass.
Essential amino acids:
Tipton et al. (1998) provided evidence that non-essential amino acids do not simulate net muscle protein synthesis in healthy participants. Due to a vegan diet being high in non-essential amino acids consuming an essential amino acid supplement may help improve the muscle protein synthetic response when consumed alongside a vegan non-essential protein source. Also, this will help reduce the amount of food needed to be consumed to reach the 20 g of high bioavailable protein (2.7 g of leucine) needed to enhance adaptations to resistance exercise.
Creatine monohydrate:
Creatine is limited in a strict plant-based diet leading to decreased creatine concentrations in plasma as well as muscle. This can result in sub-optimal fuel available for anaerobic metabolism. Plant-based individuals can expect a super-compensation effect with creatine compared to omnivores due to lower baseline creatine phosphate stores (Watt et al. 2004). Past studies have shown vegetarians enhanced their output during a repeated isokinetic test compared to omnivores following creatine supplementation (Burke et al. 2003).
Beta-alanine:
Plant-based diets have lower muscle carnosine concentrations compared to omnivores due to decreased intakes of beta-alanine. Decreased levels may negatively impact high-intensity performance (Rogerson 2017).
Plant-based protein isolate:
Studies have shown that consuming a plant-based protein isolate was as effective as animal-derived milk protein on the effects on muscle protein synthesis following exercise (Gausseres et al. 1997).
SUMMARY
A vegan diet does not enhance muscle mass greater than an omnivore diet, and in many ways, it is more difficult to do so.
Following a vegan diet to gain muscle mass requires careful planning of dietary intake alongside a well-detailed supplementation plan under blood monitoring to identify potential nutrient deficiencies.
We recommend the following for vegan athletes to gain muscle mass.
- Ensure a minimum daily intake of 1.6 g/kg body mass of protein per day alongside a resistance training program.
- Combine more than one plant-based protein at all meals. Aiming for 0.3 g/kg of protein at all meals, including a post-workout snack/ drink.
- Use the following performance supplements: essential amino acids, creatine monohydrate, beta-alanine, and plant protein isolate.
- Undertake regular blood monitoring to ensure that micronutrient deficiencies do not reduce health thus impacting performance.
For a more detailed article on how to ensure a vegan diet meets daily athlete needs, we would recommend you read the following article by Nancy Guest on our affiliated supplement provider Nutrition X website at the following link https://www.nutritionx.co.uk/wp/wp-content/uploads/2021/09/The-Nutrition-X-Change-Vegan-and-Plant-Based-Diets-in-Exercise-and-Sport_N-Guest_2021.pdf
References:
ALVARES, Thiago Silveira, et al. (2021). Effect of dietary nitrate ingestion on muscular performance: a systematic review and meta-analysis of randomized controlled trials. Critical reviews in food science and nutrition; crit rev food sci nutr, , 1-23.
APPLEBY, Paul N. and KEY, Timothy J. (2016). The long-term health of vegetarians and vegans. Proceedings of the nutrition society, 75 (3), 287-293.
ARETA, José L., et al. (2013). Timing and distribution of protein ingestion during prolonged recovery from resistance exercise alters myofibrillar protein synthesis. The journal of physiology, 591 (9), 2319-2331.
BOWTELL, Joanna and KELLY, Vincent (2019). Fruit-Derived Polyphenol Supplementation for Athlete Recovery and Performance. Sports medicine (auckland); sports med, 49 , 3-23.
BURKE, D. G., et al. (2003). Effect of creatine and weight training on muscle creatine and performance in vegetarians. Medicine and science in sports and exercise, 35 (11), 1946-1955.
GAUSSERES, Nicolas, et al. (1997). [15N]-labeled pea flour protein nitrogen exhibits good ileal digestibility and postprandial retention in humans. The journal of nutrition, 127 (6), 1160-1165.
GORISSEN, Stefan HM, et al. (2018). Protein content and amino acid composition of commercially available plant-based protein isolates. Amino acids, 50 (12), 1685-1695.
GORISSEN, Stefan HM, et al. (2016). Ingestion of wheat protein increases in vivo muscle protein synthesis rates in healthy older men in a randomized trial. The journal of nutrition, 146 (9), 1651-1659.
HEVIA-LARRAÍN, Victoria, et al. (2021). High-protein plant-based diet versus a protein-matched omnivorous diet to support resistance training adaptations: a comparison between habitual vegans and omnivores. Sports medicine, 51 (6), 1317-1330.
JONES, Andrew M. (2014). Influence of dietary nitrate on the physiological determinants of exercise performance: a critical review. Applied physiology, nutrition, and metabolism, 39 (9), 1019-1028.
KASHYAP, Sindhu, et al. (2018). Ileal digestibility of intrinsically labeled hen’s egg and meat protein determined with the dual stable isotope tracer method in Indian adults. The american journal of clinical nutrition, 108 (5), 980-987.
KASHYAP, Sindhu, et al. (2019). True ileal digestibility of legumes determined by dual-isotope tracer method in Indian adults. The american journal of clinical nutrition, 110 (4), 873-882.
LIM, Meng Thiam, et al. (2021). Animal protein versus plant protein in supporting lean mass and muscle strength: a systematic review and meta-analysis of randomized controlled trials. Nutrients, 13 (2), 661.
PINCKAERS, Philippe JM, et al. (2021). No differences in muscle protein synthesis rates following ingestion of wheat protein, milk protein, and their protein blend in healthy, young males. British journal of nutrition, 126 (12), 1832-1842.
PINCKAERS, Philippe JM, et al. (2021). The anabolic response to plant-based protein ingestion. Sports medicine, 51 (1), 59-74.
RAFII, Mahroukh, et al. (2022). Metabolic Availability of Methionine Assessed Using Indicator Amino Acid Oxidation Method, Is Greater when Cooked Lentils and Steamed Rice Are Combined in the Diet of Healthy Young Men. The journal of nutrition, 152 (6), 1467-1475.
ROGERSON, David (2017). Vegan diets: practical advice for athletes and exercisers. Journal of the international society of sports nutrition, 14 (1), 36.
SHAW, Keely A., et al. (2022). Benefits of a plant-based diet and considerations for the athlete. European journal of applied physiology, , 1-16.
SOLIMAN, Ghada A. (2019). Dietary fiber, atherosclerosis, and cardiovascular disease. Nutrients, 11 (5), 1155.
TIPTON, KD, et al. (1999). Nonessential amino acids are not necessary to stimulate net muscle protein synthesis in healthy volunteers. The journal of nutritional biochemistry, 10 (2), 89-95.
TSO, Rachel and FORDE, Ciarán G. (2021). Unintended consequences: Nutritional impact and potential pitfalls of switching from animal-to plant-based foods. Nutrients, 13 (8), 2527.
Van der Avoort, Cindy MT, et al. (2018). Increasing vegetable intake to obtain the health promoting and ergogenic effects of dietary nitrate. European journal of clinical nutrition, 72 (11), 1485-1489.
VAN VLIET, Stephan, BURD, Nicholas A. and VAN LOON, Luc JC (2015). The skeletal muscle anabolic response to plant-versus animal-based protein consumption. The journal of nutrition, 145 (9), 1981-1991.
WATT, Kenneth KO, GARNHAM, Andrew P. and SNOW, Rodney J. (2004). Skeletal muscle total creatine content and creatine transporter gene expression in vegetarians prior to and following creatine supplementation. International journal of sport nutrition and exercise metabolism, 14 (5), 517-531.